Busbar..? Banyak kita jumpai di panel-panel listrik, dari High Voltage maupun panel distribusi. Tulisan kali ini membahas secara singkat mengenai bus-bar.
Pengertian Busbar
Secara bahasa busbar adalah strip atau bar logam yang dalam sistem distribusi tenaga listrik ditempatkan dalam panel listrik/distribusi yang berfungsi sebagai penghubung antara source dengan bebannya.
Busbar adalah penghantar arus listrik yang terbuat dari tembaga atau logam lainnya seperti alumunium, namun keumuman banyak digunakan tembaga. Karena busbar memiliki fungsi yang sama dengan kabel sebagai penghubung. Maka busbar memiliki kemampuan hantar Arus, sesuai dengan dimensinya.
Pada penggunaan di panel listrik, untuk arus diatas 250 A maka disarankan untuk memakai busbar sebagai penghubungnya. Kenapa demikian? Karena dengan menggunakan Busbar akan mempermudah pemasangan komponen, seperti MCCB/ACB/lainnya pada panel. Dibandingkan apabila arus 250 A ke atas menggunakan kabel, tentu dimensi kabel lebih besar sehingga pemasangannya sulit, selain dari segi estetika maupun safety lebih bagus menggunakan busbar.
Standar Warna Busbar di Panel
![]() |
| Standar Warna Busbar |
Berdasarkan standar pada PUIL. maka dalam penggimaan busbar untuk tiap fasanya diberi warna yang berbeda:
- merah untuk fasa R - Phasa 1
- kuning untuk fasa S - Phasa 2
- hitam untuk fasa T - Phasa 3
- biru untuk fasa N - Netral
- Hijau untuk grounding (G)
Persamaan Menghitung kebutuhan Busbar
Untuk mendapatkan ukuran busbar yang sesuai ditentukan berdasarkan arus yang mengalir pada busbar tersebut dan harus sesuai dengan standar yang berlaku pada pabrik pembuatnya. Arus listrik nominal yang mengalir dapat dicari dengan menggunakan rumus (C. Sankaran 133):
maka arus busbarnya menjadi:

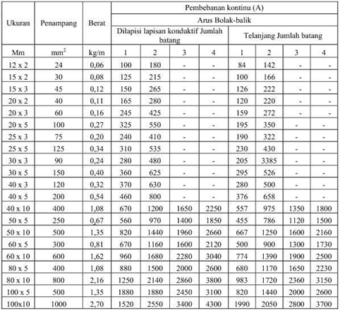
Tabel Kemampuan Hantar Arus Busbar
Berikut tabel pembebanan (KHA) Busbar untuk logam alumunium dan tembaga, karena ini yang paling umum digunakan di panel listrik.
Tabel Pembebanan Penghantar Untuk Alumunium Penampang Persegi Arus Bolak-Balik :
![]() |
| Sumber: Persyaratan Umum Instalasi Listrik 2000, Jakarta: Badan Standarisasi Nasional, 2000, p.236 |
Dan Tabel Pembebanan Penghantar Untuk Tembaga Penampang Persegi Arus Bolak-Balik
| Sumber: Persyaratan Umum Instalasi Listrik 2000, Jakarta: Badan Standarisasi Nasional, 2000, p.235 |
Jika sudah mengetahui KHA (Kemampuan Hantar Arus) dari busbar ini, maka dalam merancang dan mendesain panel, perlu memperhatikan tabel ini.
Semoga Bermanfaat ...




terimakasih banyak gan untuk infonya
BalasHapussalam rajalistrik.com jangan lupa kunjungan nya yaa
Infonya sangat bermanfaat gan, Terima kasih.
BalasHapusterimakasih mas
BalasHapusmantap gan,sangat bermanfaat bagi gue,sekali lagi thanks gan,lu keren
BalasHapusTerimakasih gan ...
BalasHapusapa kalo arus dibawah 250A tidak memerlukan busbar...?
BalasHapusUntuk beban 250 Ampere ke atas, menggunakan kabel > 95 mm, dimensi kabel lebih besar sehingga pemasangannya sulit, selain dari segi estetika maupun safety lebih bagus menggunakan busbar.
Hapus